Giving purpose to the Antenna - SE2 concept

Ian Tyson shared this feedback 41 days ago
Under Consideration

The following is a proposed idea on how to give the Antennas a larger mechanical purpose in-game.


Signal Identification:

All players/grids can see “Unknown Signals” without an antenna block, but at a lower range.


Antenna: Small 20k dist.

Antenna: Large 100k dist.

Reveals Signal Name & relation to player.


ex1: “MULE Light Freighter” - Neutral

ex2: “Centerline-H2” - Friendly

ex3: “Surveyor C-Drone” - Hostile


This additional feature allows the Antenna block act as a basic introduction to exploring, tracking, and signal identification. It also helps players realize who to avoid or approach.

Antenna Range can be extended via control panel at cost of power consumption.

Note: All antenna would have a delay on signal position. Say: 5 second delay.

This makes tracking fast moving targets difficult without visually seeing the grid.

—————————————————————

So.... this naturally opens the door to a radar/ targeting system.


Targeting Computer block

This block allows the grid to accurately track targets positions that are in the antenna/ signal range.

Paired together with an Antenna array, you can now accurately track and identify targets.

Great on Warships, Bases, and an important block in combat - disabling the enemies targeting computer and antenna allows you to essentially hide your signature during combat.

This block could go great with the addition of an Surveying Computer Block - I saw this idea suggested in one of the Ore forum posts!

To finalize, these are small additions to the game that can bring massive positive change to the gameplay experience!


Additional Notes:

Am I mistaken or is there currently not a way to hide signals in SE2? It existed in SE1 but have I been missing the hotkey for that? Please let me know in comments :)


I'd also love to have it so ship antenna names don't show up on screen by default. As little on screen pop-ups as possible! :)

Replies (8)

photo
3

I would like to see the comms system expanded, I hope VS4 will do this.

photo
4

Without working antenna player and grid should not be able to receive any signals.


Antennas had clear purposes in SE1 which was receive and send data.

That was used for:

- connect to terminal of remote grid,

- watch stream from camera of remote grid,

- control remote grid with Remote Control block,

- send and receive data by scripts (IGC)

I hope all of this will be possible in SE2 too.


Player suit has antenna built in but it was option to disable it.


Additionally grid's antenna had "disable broadcast" setting which put it in passive mode - it could only receive signals without sending anything to reveal own position, which was widely used in PVP and by NPCs from MES mod.


Basically antenna should show only information which was broadcasted, nothing else. It should not identify grid type or name.


Grid identification was already implemented in SE1 by a targeting system.


Once target was locked the faction and grid name was presented on LCD displays (App / Targeting Info) and it was available for scripts to use or display.


Additionally AI Defensive block was specialized in detecting neutral/enemy grids, it could execute actions and also displayed the name of the grid.


Entire comms system of SE1 was well thought over in my opinion and I would just like to see it implemented in SE2 as well without any changes to the concept and mechanics.

photo
1

add in the ability to 'interrogate' a target, with an ability for it to be 'cooperative' or 'non-cooperative'.

Gives players the ability to edit their transponder's information displayed, and to decide on what gets sent based on:

1. open broadcast (broadcasting so everyone can see, what we have now)

2. closed broadcast (certain information is only broadcasted to a player when it is interrogated. Still available to anyone)

3. Encrypted (certain information is only broadcasted to a player(s) who has the password)

All three can be set up to run at the same time.


- I made a post on antenna's comms, transponders, and radar scanning being combined. Although there really should be a separate active radar scanner.

photo
1

i think we can safely assume that most if not all comm devices from SE1 will be implemented on SE2, so should only put forward NEW/DIFFERENT things for consideration.

photo
1

Yes. Radars please. been saying this for awhile

photo
1

I'm not sure we CAN safely assume that most things from SE1 will be carried over to SE2, which is why we should absolutely continue to provide feedback along the way to reinforce the dev's choices while they're actively developing.

I might like to suggest as part of this, some sort of electronic warfare, including hacking and signal jamming.

photo
1

I don't see it as a problem that, at this stage of the game's development, the antennas are merely decorative elements rather than functional modules or devices.

photo
6

Thanks for the detailed suggestion this is in progress.

We’re seeing a lot of discussion around antennas and signal handling in SE2, especially around the desire to move beyond simple “show everything in range” behaviour and toward more meaningful information layers (identification, classification, and tracking).

The idea of expanding antennas from a pure range-reveal tool into a system that supports identification, delayed tracking, and potential counterplay (such as disruption or concealment) aligns well with broader conversations around making exploration and combat information more interactive rather than purely automatic.

That said, anything involving radar-like systems, target tracking, or expanded sensor logic is still under consideration and not currently locked in. These kinds of systems have to be carefully balanced against performance, readability, and the sandbox-first nature of SE2, so we’re still exploring what form (if any) they take.

We also note the feedback regarding UI clutter and signal visibility reducing unnecessary on-screen information while keeping essential gameplay clarity is something the team is actively iterating on.

Appreciate you putting the concept together in a structured way it helps clarify how players expect antennas to evolve beyond their SE1 role.


Arron, Community Manager

photo
2

This is awesome to hear Arron!


I believe the team is going to do great things here - I've seen them do "the impossible" before.

I remember when Planets were said to not be possible, and look at where we are now!


But this is exciting to hear it is being considered!! :)

photo
1

For a method of managing 'screen clutter', a real-life method might give some ideas:

TCAS - in flight sims;/military flight sims, you get a lot of contacts on your screen. There are filters to set up, but the easiest is to just adjust the 'range' that the contacts are displayed.


An application for SE2 would be a 'short', 'medium', and 'long' range (i.e., for example) contact display setting/key press to cycle through the ranges, and doing so cycle through how many contacts are showing on your screen.

*edit*

To be fair, there are a ...lot...of filters you can set up, in simulators, even before you fly. Filters for threat priority to override your display, tactical filters, nav filters, etc.

But when you are finally flying...and more importantly...someone is trying to shoot you...the basics are what you will use. And you are constantly managing your sensor's ranges throughout your flight. Far contacts, close contacts. Screen clutter and information management are cornerstones for simmers. You need something that just 'works'.

photo
1

The ideas never stop!

With the reintroduction of the Remote Control block soon, and based on my thoughts here on the Antenna block being a support rather than a necessity (as it extends the default connection range)...


I had the thought:

what if the Remote Control doesn't need an antenna to function? i.e it has a built-in low range antenna.


I think there is still a huge use for the antenna on drones (as you can extend the range via the control panel) but I also think the power to really shrink down grids will be a gamechanger.


*Imagine you and a small drone clearing hallways of enemy ships! *


With the addition of .25 thrusters - now you have a very small drone but is able to fully function (albeit at limited range without an antenna). I have them already here! The model isn't the best - its been a while since I used Blender haha - but its the concept that is cool.


7c614b222a25a5a9d7f6b84f38c666cc


Example of the Mod on a drone: Look how tiny! LOL

(I have the antenna there for extra range + I wanted the drone to subtly resemble a Bee!)

photo
1

Some more (unedited) shots of my Carpenter Drones (C-Drones):

C-Drones are my concept for a class of drone found throughout Almagest. They are cheap to produce, and can be easily modified for any job. When deployed in swarms, they are deadly... Due to their small profile A targeting computer would be crucial for destroying them!


I plan on building a line of drones using the .25 maneuvering thrusters that are based on ARC from ARC Raiders. And I am purposefully building in weak points for players to take them out easier if they're well aimed! Its a lot of fun designing :) Anyways, though I would share!

9b452e7bc52e8598bbbe4b51ab3170b6fdbe6c8ba1c86867ab7c4326d100aa0c9d2b67684980b9b0aa1e7ce39471c74c

photo
2

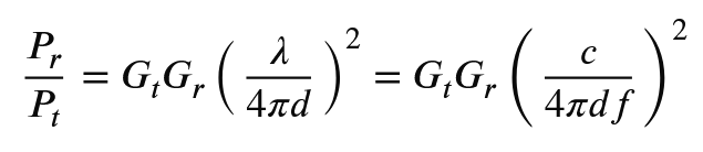
The standard rule for radio communication takes into account both the size of the transmitting antenna and the size of the receiving antenna. (-> Friis transmission equation)


bd5a7263a64af7d82d66d2b5fb67ecf0

Pr : Received power

Pt : Transmitted power

Gt : Gain of the transmitting antenna (toward the receiver)

Gr : Receiving antenna gain (toward the transmitter)

lambda λ : Wavelength (in meters)

d : Distance between antennas (in meters)

c : Speed of light (~ 3.10E8 m/s)

f : Frequency (in Hertz)

where Gt and Gr depend on the antenna dimensions (and on the frequency)


So if the transmitting antenna and transmit power are sufficiently large, the receiving antenna can be small and the receiver less sensitive. Conversely, if the transmitting antenna is small and the transmit power is weak, the receiving antenna must be large and the receiver very sensitive.

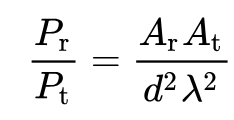
For the purposes of the game, it may be more appropriate to work with the effective aperture of the antenna. The equation then takes the form


7ee1f2502468c4e0d74e892a790c515d;

where

49fe1cfdefb02f650e4830f42572ac88;

Pr : Received power

Pt : Transmitted power

Ar : the effective area of the receiving antenna, At : the effective area of the transmitting antenna, d : the distance between antennas /b43d0ea3c9c025af1be9128e62a18fa74bedda2a : wavelength of the radio frequency.


/bfc925d70377b6da729e56bcc6313a7825a19b52, /265483c517cb98cde609f03a31964d86cdcb05c9, /ef0309e83b9f8917fb33be7c0c04fd6d871a4135, and /852130fa360f0bd8dda19f023a90f16293611563 are in the same units ( area unit )

Let the operating wavelength be 1 m (~300 MHz) for simplicity...

Let the smallest rod antenna be one meter long (A = 1/4π = ~0.08 m² = ~1/12 m²) and the smallest parabolic antenna have an area of 0.25 x 0.25 m (A = 0.0625 m² = 1/16 m²)

Let the largest rod antenna be 10 m long (A = 0.8 m²) and let the largest parabolic antenna have an area of 2.5 x 2.5 m = 6.25 m² (A = 6.25 m²).

Let the largest transmitter/receiver (2.5 m cube) have a transmission power (Pt) of 10 kW, and let the smallest transmitter/receiver (0.25 m cube) have a power of 10 W (1000:1). Let the bigger transmitter/receiver have a sensitivity (Pr) of 0.000 000 01W and smallest 0,000 001W (100:1).

Then:

d^2 = (Pt . At . Ar) / Pr

Connection: 2.5 m parabolic dish transmitter – 2.5 m parabolic dish receiver -> distance 6250 km

Connection: 2.5 m parabolic dish transmitter – 0.25 m parabolic dish receiver -> distance 62,5 km

Connection: 0.25 m parabolic dish transmitter – 2.5 m parabolic dish receiver -> distance 62,5 km

Connection: 0.25 m parabolic dish transmitter – 0.25 m parabolic dish receiver -> distance 197 m 8(

Um... I missed something... and I don't know what :(

photo
Leave a Comment
 
Attach a file